Abflug verhindert

Frau hielt Differentialgleichung für "Terroristencode"

Frau verhinderte wegen Notizen ihres Sitznachbarns Abflug in Philadelphia.

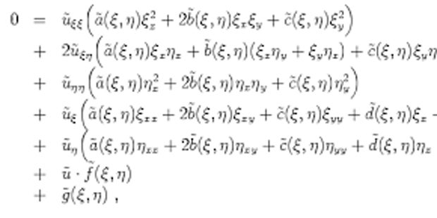
Weil sie die Differentialgleichung ihres Sitznachbarn für einen "Terroristencode" hielt, hat eine Flugpassagierin in den USA den Start ihrer Maschine verhindert. Die Frau hatte kurz vor Abflug des Flugzeugs in Philadelphia beobachtet, wie ihr Nachbar schnell Zahlenreihen und Buchstaben auf ein Blatt Papier kritzelte, die ihr unverständlich waren.

Daraufhin behauptete sie, sie fühle sich unwohl und erzwang eine Umkehr der Maschine zum Terminal, wo sie ausstieg. Erst dann teilte sie den Behörden den wahren Grund ihres Begehrens mit: das vermeintliche Manifest eines "Terroristen" und seinen Geheimcode. Die Sicherheitskräfte befragten daraufhin den verdächtigten Mann - der sich als der bekannte italienische Wirtschaftswissenschaftler Guido Menzio herausstellte. Seine Notizen erwiesen sich als Differentialgleichung.

Der Pilot habe schnell entschieden, dass die Sorgen der Passagierin "unbegründet" gewesen seien, teilte ein Sprecher von American Airlines am Sonntag mit. Die Maschine hob mit rund einer Stunde Verspätung in Richtung Syracuse ab.

Menzio, Professor an der Universität von Pennsylvania, erklärte, er sei korrekt von denjenigen behandelt worden, die ihn befragt hätten. Der Vorfall zeige jedoch die "Gefühle, die die Wähler von Donald Trump leiten", fügte er in Anspielung auf die aggressive Rhetorik des voraussichtlichen Präsidentschaftskandidaten der Republikaner hinzu.

Trump hatte unter anderem ein vorübergehendes Einreiseverbot für Muslime in die USA und den Bau einer Mauer zu Mexiko gefordert.
 

Fehler im Artikel gefunden? Jetzt melden.
OE24 Logo
Es gibt neue Nachrichten